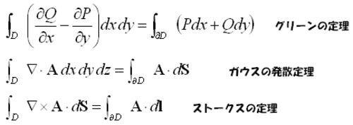
微分形式の積分公式のストークスの定理を使うと一見バラバラの次のようなベクトル解析における公式、が統括される。という事を確認してみる事にする。 まずはグリーンの定理。としてとして微分形式のストークスの定理を適用してみる。 お次はガウスの発散定…
引用をストックしました
引用するにはまずログインしてください
引用をストックできませんでした。再度お試しください
限定公開記事のため引用できません。