Memo68 頂点(3次のオーダー)

S行列の2次のオーダーの寄与については全部計算したが繰り込みでは頂点補正という事が必要になる。
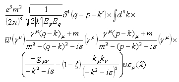
ということで頂点における3次のオーダーを計算してみる。もうFeynman規則は大分なれたのでやって見よう。

https://cdn-ak.f.st-hatena.com/images/fotolife/c/cat_falcon/20190805/20190805045151.jpg
https://cdn-ak.f.st-hatena.com/images/fotolife/c/cat_falcon/20190805/20190805045154.jpg
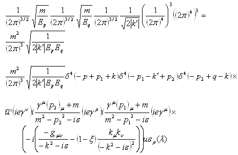
内線に関する積分を行うと、
https://cdn-ak.f.st-hatena.com/images/fotolife/c/cat_falcon/20190805/20190805045158.jpg
これも内線の積分が無限大に発散してしまう。

運動量については次のように成っている。
https://cdn-ak.f.st-hatena.com/images/fotolife/c/cat_falcon/20190805/20190805045202.jpg