前回、0次、1次の項は反応に寄与しないと書いていましたがやはり少し吟味しておきます。
0次の項は
なので何の反応も無い状態です。これは自明ですが、1次の項
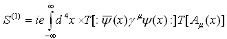
は電磁場の演算子が一つしかないため真空期待値をとるとゼロになるので寄与しない項になる。(ΨとAはT積を分けています)これは
N積だけの部分はその真空期待値がゼロになる為です。二つの場があれば次のようにウイックの定理から伝播関数(propagator)プロパゲータの項が残る事になる。

0次の項は
なので何の反応も無い状態です。これは自明ですが、1次の項
は電磁場の演算子が一つしかないため真空期待値をとるとゼロになるので寄与しない項になる。(ΨとAはT積を分けています)これは
N積だけの部分はその真空期待値がゼロになる為です。二つの場があれば次のようにウイックの定理から伝播関数(propagator)プロパゲータの項が残る事になる。

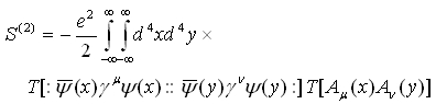
そんな訳で、2次の項を具体的に計算してみます。2次の項は
二つの時空点しか出てこないので、次のように書き直しておきましょう。
ΨとAは可換なので分ける事が出来て、
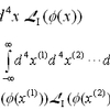
ここで、注意しておかなければならないのはスピノル場は4成分だったのでの細かい事を言えば、
を略記しているという点です。なので、詳細に書けば、
のことだと解釈する必要があります。また、これはよく見ると上添え字μのペアが無いです。なので当然下添え字にμがあるものとで縮約されることになります。なのでその相手は
になるのは言うまでも無いですね。
次回はもう少し具体的に計算を進めてみます。
二つの時空点しか出てこないので、次のように書き直しておきましょう。
ΨとAは可換なので分ける事が出来て、
ここで、注意しておかなければならないのはスピノル場は4成分だったのでの細かい事を言えば、
を略記しているという点です。なので、詳細に書けば、
のことだと解釈する必要があります。また、これはよく見ると上添え字μのペアが無いです。なので当然下添え字にμがあるものとで縮約されることになります。なのでその相手は
になるのは言うまでも無いですね。
次回はもう少し具体的に計算を進めてみます。