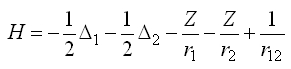
ヘリウム原子のハミルトニアンは

だったけど、こんな方程式

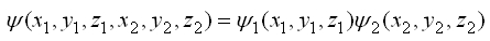
は水素原子の時の様に数学的に解く事は出来ない(困難?)。少なくとも厳密な解を私は見たことが無い。それで独立粒子模型を使って電子間の相互作用を無視して水素原子の波動関数の積

として近似計算をした。結局は電子間の相互作用の寄与を補正として加えても測定値の95%程度しか説明出来なかった。実はこの結果はある事を示唆している。試しに波動関数の形を変形して変分法を使って近似するという方法をとっても精度向上は見込めない。というのがヒレロスによって示されている。つまり電子間の相互作用を本質的に波動関数に含める事が必要なのだそうだ。

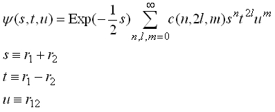
のような波動関数を想定するとEはcの関数と考える事が出来る。

変分法でEが極小となるように係数cを求めるという変分法を使えば

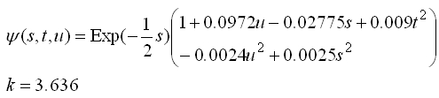
から係数cを決定する。実際には無限項の計算は出来ないので適当な項で打ち切って計算する。例えば

kはスケーリング定数でエネルギーを

によって計算すると

となる。これはの値は実際の測定値

と比較して相当な精度で計算出来ている。さらに

では

となって精度は上がってくる。計算を38項まで行うとその結果は

となって確実な結果を与えてくれる。
ちなみに相対論を考慮に入れない時の最も精密な計算結果は


だったけど、こんな方程式

は水素原子の時の様に数学的に解く事は出来ない(困難?)。少なくとも厳密な解を私は見たことが無い。それで独立粒子模型を使って電子間の相互作用を無視して水素原子の波動関数の積

として近似計算をした。結局は電子間の相互作用の寄与を補正として加えても測定値の95%程度しか説明出来なかった。実はこの結果はある事を示唆している。試しに波動関数の形を変形して変分法を使って近似するという方法をとっても精度向上は見込めない。というのがヒレロスによって示されている。つまり電子間の相互作用を本質的に波動関数に含める事が必要なのだそうだ。

のような波動関数を想定するとEはcの関数と考える事が出来る。

変分法でEが極小となるように係数cを求めるという変分法を使えば

から係数cを決定する。実際には無限項の計算は出来ないので適当な項で打ち切って計算する。例えば

kはスケーリング定数でエネルギーを

によって計算すると

となる。これはの値は実際の測定値

と比較して相当な精度で計算出来ている。さらに

では

となって精度は上がってくる。計算を38項まで行うとその結果は

となって確実な結果を与えてくれる。
ちなみに相対論を考慮に入れない時の最も精密な計算結果は
