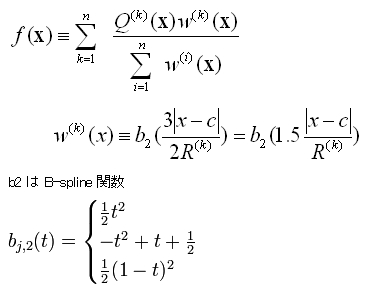
2011-03-09 MPU法アルゴリズムの概要(2) 3D CG(レンダリング) #イラストレーション 前回の続き。 そして全体を表す陰関数をMPU法では以下のように定義される。 だが定義域の基準点によって見た目が異なるのでその点が不明だったが、次の論文によれば (http://www.eccm2010.org/complet/fullpaper_1679.pdf) と設定できるようだ。この点は実装時に考える事にして、フィッティングに使うローカル形状陰関数は形状特徴を評価して以下のローカル形状陰関数を使用する。 どの関数を使用するも論文には書かれているようなのでその点を読み解いて見たい。