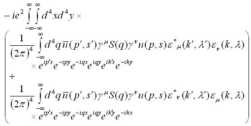
2次の摂動であるS行列成分の計算が今日終わります。前回の式でさらに整理しますと、(指数関数を集めると)
となります。ここでxの積分を遂行すると、(デルタ関数を思い出して)
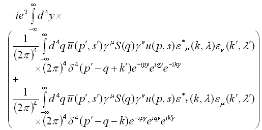
同様にyの積分を遂行すると、(やはりデルタ関数を思い出せば)
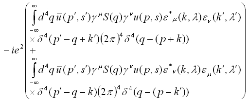
デルタ関数を少し整理して、
となります。ここまで来ると残った積分はqだけですがこれも簡単にできてしまいます。

となります。ここでxの積分を遂行すると、(デルタ関数を思い出して)
同様にyの積分を遂行すると、(やはりデルタ関数を思い出せば)
デルタ関数を少し整理して、
となります。ここまで来ると残った積分はqだけですがこれも簡単にできてしまいます。

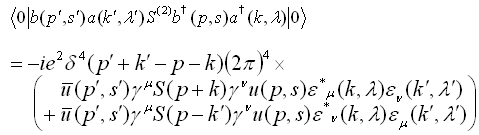
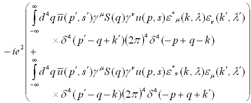
こうして(コンプトン散乱に寄与する)2次の摂動であるS行列成分の計算が完了して、
となる。この結果は「場の量子論 中西襄著」p185と一致しているので良さそうです。もっともプロパゲータS(x-y)を具体的に与えていないので見た目は異なっていますが。
となる。この結果は「場の量子論 中西襄著」p185と一致しているので良さそうです。もっともプロパゲータS(x-y)を具体的に与えていないので見た目は異なっていますが。
長い計算でしたが同書の僅か2行分の行間を埋めたに過ぎない。