Note4 S行列のゲージ不変性

そもそもS行列ゲージ変換に対して不変なのか?
https://cdn-ak.f.st-hatena.com/images/fotolife/c/cat_falcon/20190805/20190805052639.jpg
光子の運動量は運動量保存
https://cdn-ak.f.st-hatena.com/images/fotolife/c/cat_falcon/20190805/20190805052717.jpg
から
https://cdn-ak.f.st-hatena.com/images/fotolife/c/cat_falcon/20190805/20190805052722.jpg
また、図で示したS行列は係数因子を除く(点線の枠の中の)主要な部分は
https://cdn-ak.f.st-hatena.com/images/fotolife/c/cat_falcon/20190805/20190805052727.jpg
で、これに光子の運動量を掛けると、
https://cdn-ak.f.st-hatena.com/images/fotolife/c/cat_falcon/20190805/20190805052731.jpg
これとDiracの方程式の運動量表記
https://cdn-ak.f.st-hatena.com/images/fotolife/c/cat_falcon/20190805/20190805052734.jpg
から、(下記メモ参照
https://cdn-ak.f.st-hatena.com/images/fotolife/c/cat_falcon/20190805/20190805052740.jpg
これを代入すると、
https://cdn-ak.f.st-hatena.com/images/fotolife/c/cat_falcon/20190805/20190805052744.jpg
よって、
https://cdn-ak.f.st-hatena.com/images/fotolife/c/cat_falcon/20190805/20190805052747.jpg
となっています。それで?何が分かるのか?




実際には図のFeynman図には光子の伝播関数
https://cdn-ak.f.st-hatena.com/images/fotolife/c/cat_falcon/20190805/20190805052751.jpg

https://cdn-ak.f.st-hatena.com/images/fotolife/c/cat_falcon/20190805/20190805052643.jpg
に掛かります。つまり、
https://cdn-ak.f.st-hatena.com/images/fotolife/c/cat_falcon/20190805/20190805052649.jpg
先程の関係から、
https://cdn-ak.f.st-hatena.com/images/fotolife/c/cat_falcon/20190805/20190805052652.jpg
となってゲージパラメータζには依存しない(不変な)事が分かる。
第9話 電磁場のローレンツゲージ条件
第29話 場の量子化(3) 光(電磁場)の量子化(2)



メモ
https://cdn-ak.f.st-hatena.com/images/fotolife/c/cat_falcon/20190805/20190805052656.jpg
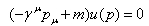
この方程式から直ちに
https://cdn-ak.f.st-hatena.com/images/fotolife/c/cat_falcon/20190805/20190805052703.jpg
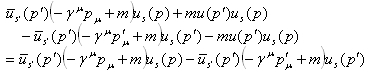
この2式を足すと、
https://cdn-ak.f.st-hatena.com/images/fotolife/c/cat_falcon/20190805/20190805052708.jpg
これらから、
https://cdn-ak.f.st-hatena.com/images/fotolife/c/cat_falcon/20190805/20190805052713.jpg
も得られます。