最低次の輻射補正(ループの寄与)での運動量移行が大きいときの結合定数は

でしたから

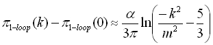
を代入すると

ですね。これがどういうことかとういうと運動量k(エネルギー)によって結合定数の強さが変化する。定数が変化すると言うのは気持ち悪いが実験で確かめられている。
これを走る結合定数(running coupling constant)というようだ。

真空中の電子が不確定性原理(?)によって粒子対生成を絶えず起こしている。もちろんこのような対生成は仮想粒子で観測される事は無く、Feynman図では内線のループを作っている。そして電子はこの効果による輻射補正を受けている。という理解で正しいのだろうか?

これがどういうことかとういうと, 輻射補正が裸の電荷の周囲の真空に電気双極子(偏極の雲) を作っていると解釈するようだ。

観測者はこの双極子のために変化した電荷(繰り込まれた電荷)として見える。と考えると運動量によって結合定数が変化する理由は次のように解釈してよさそうだ。つまり運動量が大きくなると, 偏極の雲を抜けてくる電荷を観測する。その為に電荷が裸の電荷に近づいて大きくなり上の結果になる。なんとなくこんな事を説明しているのでは無いだろうか?。これは私の理解による解釈なのでもっとまともな解釈もあるかもしれない。

でしたから

を代入すると

ですね。これがどういうことかとういうと運動量k(エネルギー)によって結合定数の強さが変化する。定数が変化すると言うのは気持ち悪いが実験で確かめられている。
これを走る結合定数(running coupling constant)というようだ。

真空中の電子が不確定性原理(?)によって粒子対生成を絶えず起こしている。もちろんこのような対生成は仮想粒子で観測される事は無く、Feynman図では内線のループを作っている。そして電子はこの効果による輻射補正を受けている。という理解で正しいのだろうか?

これがどういうことかとういうと, 輻射補正が裸の電荷の周囲の真空に電気双極子(偏極の雲) を作っていると解釈するようだ。

観測者はこの双極子のために変化した電荷(繰り込まれた電荷)として見える。と考えると運動量によって結合定数が変化する理由は次のように解釈してよさそうだ。つまり運動量が大きくなると, 偏極の雲を抜けてくる電荷を観測する。その為に電荷が裸の電荷に近づいて大きくなり上の結果になる。なんとなくこんな事を説明しているのでは無いだろうか?。これは私の理解による解釈なのでもっとまともな解釈もあるかもしれない。
そしてこの現象こそが真空偏極と言うわけらしい。
それでスッキリしたの(くだらない事だけど)は光子の自己エネルギーΠμνを真空偏極と呼ばれている理由だ。これが理由だったわけだ。なるほど確かに真空偏極と呼んで良いのだろう。
それでスッキリしたの(くだらない事だけど)は光子の自己エネルギーΠμνを真空偏極と呼ばれている理由だ。これが理由だったわけだ。なるほど確かに真空偏極と呼んで良いのだろう。
運動量kが大きくなる(近距離)で強くなっていくと摂動論はいずれ破綻する?。