エーレンフェストの定理

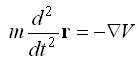
。では不十分。これが丁度、古典力学(ニュートン力学)の

に対応している事まで言及する事が重要で、それにはポテンシャルが単純な場合、つまり一定であるような時に限られる。「量子力学入門 阿部龍蔵著」p105 この時、

という対応があってエーレンフェストの定理は量子力学と古典力学を結ぶ重要な定理となる。

。では不十分。これが丁度、古典力学(ニュートン力学)の

に対応している事まで言及する事が重要で、それにはポテンシャルが単純な場合、つまり一定であるような時に限られる。「量子力学入門 阿部龍蔵著」p105 この時、

という対応があってエーレンフェストの定理は量子力学と古典力学を結ぶ重要な定理となる。
という理解でどうなんだろう。。。。