Note239 Ehrenfest theorem(エーレンフェストの定理)の導出(1)

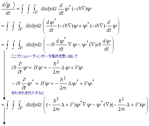
とりあえず、量子力学の基本的な式を思い出しておこう。
https://cdn-ak.f.st-hatena.com/images/fotolife/c/cat_falcon/20190805/20190805233901.jpg
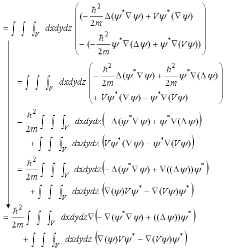
まずは次式を直接計算する。
https://cdn-ak.f.st-hatena.com/images/fotolife/c/cat_falcon/20190805/20190805233904.jpg
https://cdn-ak.f.st-hatena.com/images/fotolife/c/cat_falcon/20190805/20190805233908.jpg
ガウスの発散定理から最初の積分無限遠方の境界で
https://cdn-ak.f.st-hatena.com/images/fotolife/c/cat_falcon/20190805/20190805233911.jpg
となるといういつも仮定から寄与は無い。従って、
https://cdn-ak.f.st-hatena.com/images/fotolife/c/cat_falcon/20190805/20190805233916.jpg
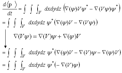
よって
https://cdn-ak.f.st-hatena.com/images/fotolife/c/cat_falcon/20190805/20190805233921.jpg
ここでポテンシャルの力の定義
https://cdn-ak.f.st-hatena.com/images/fotolife/c/cat_falcon/20190805/20190805233926.jpg
から
https://cdn-ak.f.st-hatena.com/images/fotolife/c/cat_falcon/20190805/20190805233929.jpg
が言えます。