量子力学ではポテンシャルV を生じる粒子に粒子をぶつけた時の散乱はボルン近似で計算する事が出来る。一方Feynman-diagramで電子の散乱は

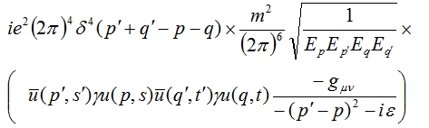
ところでQEDでは電子が入れ替わってしまう場合を考慮しているため2個の図が現れる。電子同士は根源的に区別できないので両者の反応の違いを観測する事は出来ない。従って古典的の近似(つまり非相対論近似)では2 つの電子が区別できるとすると非相対論近似では最初の図だけを計算すればよい。つまり(以前、計算した結果)

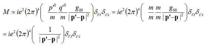
従って散乱振幅は

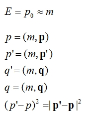
さらに非相対論近似では

とおける

さらに非相対論的な極限を考えれば(殆ど停止した電子)i = 1, 2, 3 成分は≃ 0 と考えて良い。

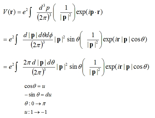
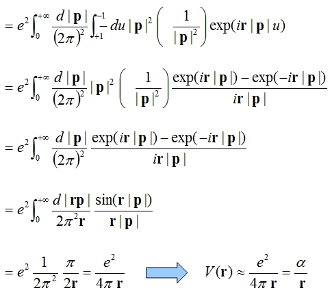
ボルン近似との対応からポテンシャルは

という対応が得られる。

ところでQEDでは電子が入れ替わってしまう場合を考慮しているため2個の図が現れる。電子同士は根源的に区別できないので両者の反応の違いを観測する事は出来ない。従って古典的の近似(つまり非相対論近似)では2 つの電子が区別できるとすると非相対論近似では最初の図だけを計算すればよい。つまり(以前、計算した結果)

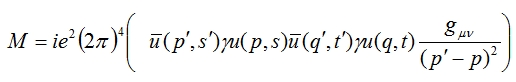
従って散乱振幅は

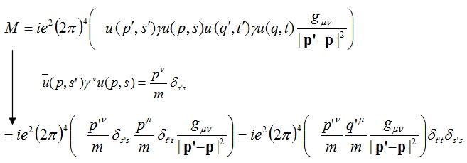
さらに非相対論近似では

とおける

さらに非相対論的な極限を考えれば(殆ど停止した電子)i = 1, 2, 3 成分は≃ 0 と考えて良い。

ボルン近似との対応からポテンシャルは

という対応が得られる。

