Note124 共変外微分と曲率(2)

先日の関係式
https://cdn-ak.f.st-hatena.com/images/fotolife/c/cat_falcon/20190806/20190806062117.jpg
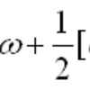
をΩの定義と考えるなら逆に曲率形式は
https://cdn-ak.f.st-hatena.com/images/fotolife/c/cat_falcon/20190806/20190806062120.jpg
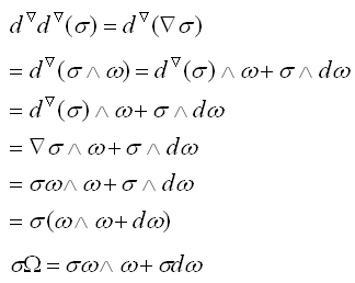
である必要がある。という事で辻褄は合っています。証明は先日の逆なので
https://cdn-ak.f.st-hatena.com/images/fotolife/c/cat_falcon/20190806/20190806062126.jpg
従って
https://cdn-ak.f.st-hatena.com/images/fotolife/c/cat_falcon/20190806/20190806062130.jpg
が示せます。