前回で考慮不足を対応(○)してみた。
(×)越流境界条件(防波堤、堤防等)
(○)ソリトン分裂項
(×)断層運動による水位変化
(×)アスペリティーの存在の仮定
(○)コリオリ因子
(×)地球の丸み(コリオリ因子)
(×)潮位の影響
断層運動による水位変化は断層モデルから弾性体理論に基づいて計算される海底地殻変動を計算する。Okada(1985)による計算というのがあるが、もっとも多く使われているのがManshinha and Smylie(1971)だがどう言う計算なのか不明。
以下は1次元表示

上から3個目は砕波減衰項と水底摩擦項を考慮したた以下の式になる。

えらく複雑になったがなんとか実装と簡単なテストを終えた。
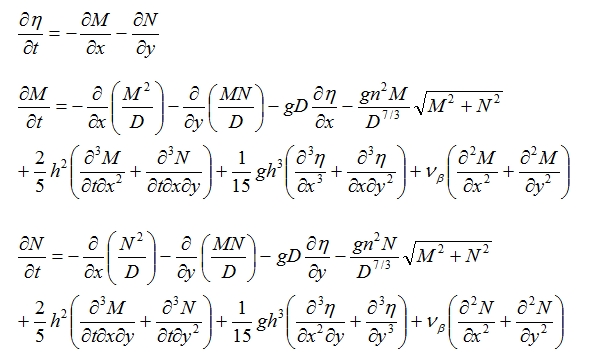
私は実装してしまった。それが以下の式になる。

B=1/5(修正ブシネスク方程式(Madsen andSorensen、1992))
遡上計算について。
遡上計算の問題点
マニング係数を与えると計算がどうしても不安定になる。
さらに遡上端があまり動かない。
さらに遡上端があまり動かない。
同じような現象が「遡上域を含む断面2次元の海浜変形の特徴に関する研究」でも報告されていることが判った。理由はほぼ予想していた通りで、。。。
なので浅いところでは問題が起きる可能性は高い。論文では遡上領域では摩擦抵抗をゼロにしてこの問題を回避しているようだ。
なので浅いところでは問題が起きる可能性は高い。論文では遡上領域では摩擦抵抗をゼロにしてこの問題を回避しているようだ。
遡上境界条件
陸上への遡上を扱う場合には、岩崎・真野(1979)の方法を使うのが一般的なようだが問題点もあるようだ。特に浅瀬と深いところが不連続にある場合や全水深Dが1m未満の時は解が発散してしまうことがあった。一番安定して計算できた東北大の今村の方法を採用した。
陸上への遡上を扱う場合には、岩崎・真野(1979)の方法を使うのが一般的なようだが問題点もあるようだ。特に浅瀬と深いところが不連続にある場合や全水深Dが1m未満の時は解が発散してしまうことがあった。一番安定して計算できた東北大の今村の方法を採用した。
ある程度完成したら「Manshinha and Smylie」の理論を実装してみようと思うがまずはそれの勉強からだ。