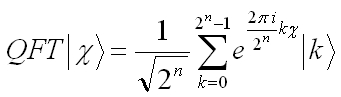
QFTも量子計算ですから量子回路で書くことも出来ます。
(例)3qubitの量子フーリエ変換回路
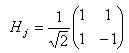
ここでHadamardゲート
制御Phaseゲート
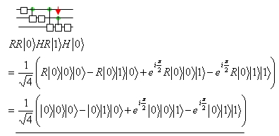
です。この回路で本当にQFTの式が出力されるか確かめてみるのはちょっとした練習になるかも知れません。実際にやってみたので結果は最後に載せておきます。
(簡単な計算ですが慣れないと大変な事だけは言っておきます。各ステップに量子回路の縮図も付けて置いたので多少は計算過程と量子回路がイメージできると良いですが)
(例)3qubitの量子フーリエ変換回路
ここでHadamardゲート
制御Phaseゲート
です。この回路で本当にQFTの式が出力されるか確かめてみるのはちょっとした練習になるかも知れません。実際にやってみたので結果は最後に載せておきます。
(簡単な計算ですが慣れないと大変な事だけは言っておきます。各ステップに量子回路の縮図も付けて置いたので多少は計算過程と量子回路がイメージできると良いですが)
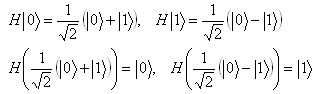
Hadamardゲートは次のような作用です。
Phase(位相)ゲートは次のような作用で、
制御Phaseゲート
制御NOTと同様に制御ビットが1のとき標的ビットに位相ゲートの作用を受ける。
Phase(位相)ゲートは次のような作用で、
制御Phaseゲート
制御NOTと同様に制御ビットが1のとき標的ビットに位相ゲートの作用を受ける。
フーリエ変換自体は目新しいものでは無いです。色んなところで使われている便利な計算ですが計算が複雑なので時間の掛かる計算です。そのためこれを高速に計算するアルゴリズムFFT(高速フーリエ変換)等がよく使われます。しかしこのように量子ゲートで量子計算でも出来る点は注目すべき点です。もしこの計算が無かったら量子コンピュータがこれほど脚光を浴びる対象にはならなかったかもしれません。この点については改めて見ていきたいと思います。
●以下は確認メモ
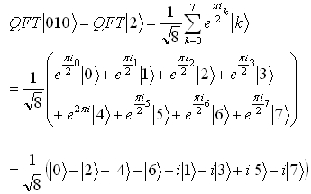
ちょっとした練習問題として2を量子回路を使って量子フーリエ変換してみます。
一方、定義式で計算してみると、

となりますからちゃんと一致しています。量子回路で出力された結果と同じですね。
(疲れます)
ちょっとした練習問題として2を量子回路を使って量子フーリエ変換してみます。
一方、定義式で計算してみると、

となりますからちゃんと一致しています。量子回路で出力された結果と同じですね。
(疲れます)