量子計算を行うというのは量子ビットを操作して欲しい解を得る確率を高くする事になります。それにはまず基本的な回路を(基本量子ゲートによって)構成しなければなりません。
そしてどんな量子計算でも「(1量子ビットの)ユニタリ変換」「2量子ビットの制御NOTゲート」を構成すれば可能なことが知られています。
D.Deutsch, Proc. R. Soc. Lond., Vol.A 400, pp.97-177(1985)
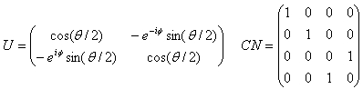
■(1量子ビットの)ユニタリ変換(U)
これはもうお馴染み単なるユニタリ変換です。
そしてどんな量子計算でも「(1量子ビットの)ユニタリ変換」「2量子ビットの制御NOTゲート」を構成すれば可能なことが知られています。
D.Deutsch, Proc. R. Soc. Lond., Vol.A 400, pp.97-177(1985)
■(1量子ビットの)ユニタリ変換(U)
これはもうお馴染み単なるユニタリ変換です。
■2量子ビットの制御NOTゲート(CN)
制御ビットと標的ビットと呼ばれる2量子状態に対する量子ゲートです。
これは次のような操作です。
どうしてCNが量子ビットに作用すると右辺のような量子ビットになるのかという点で行列と量子ビットの操作の関係をもう少し詳しく見てみます。
でしたから、第13話 量子力学の基本4(状態ベクトルの基本)
が2量子状態の基底になります。各基底に制御NOTを作用させると、
とちゃんとなっています。なので制御NOTの操作を全て書いてみると
となります。制御ビットが1の時に標的ビットが反転(0 <-> 1)します。また、CNは次のような形にも書くことが出来ます。
基本的には「(1量子ビットの)ユニタリ変換」と上記で説明した「2量子ビットの制御NOTゲート」で十分ですがいつもこの量子ゲートまで分解していくのは煩雑なので既に組まれた以下のような量子ゲートが使われます。

制御ビットと標的ビットと呼ばれる2量子状態に対する量子ゲートです。
これは次のような操作です。
どうしてCNが量子ビットに作用すると右辺のような量子ビットになるのかという点で行列と量子ビットの操作の関係をもう少し詳しく見てみます。
でしたから、第13話 量子力学の基本4(状態ベクトルの基本)
が2量子状態の基底になります。各基底に制御NOTを作用させると、
とちゃんとなっています。なので制御NOTの操作を全て書いてみると
となります。制御ビットが1の時に標的ビットが反転(0 <-> 1)します。また、CNは次のような形にも書くことが出来ます。
