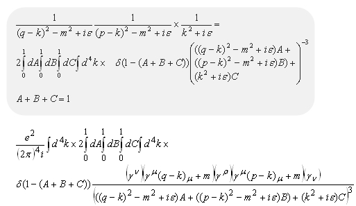
このままではまだどうやって積分したらいいのか全く分からないしMathematicaでも計算できそうに無い。そこで分母と分子をそれぞれ別に考えて簡約します。求めたいのは

という形に変形して

を求める事ですから、変形の方針はγを係数とする部分と

に比例する因子に纏め上げる事です。それと本来は(背景として)S行列を考えているので

という形ですからγは式の中で右または左に全部寄せてしまうように変形する事になります。なぜなら電子はディラック方程式を満たすので、例えば

なので、

としてγが消去されます。なので計算の方針は、分母

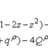
を整理して、次に分子、

を整理してそれらをに纏め上げて最後に係数

を掛ける。として計算できるはずです。

という形に変形して

を求める事ですから、変形の方針はγを係数とする部分と

に比例する因子に纏め上げる事です。それと本来は(背景として)S行列を考えているので

という形ですからγは式の中で右または左に全部寄せてしまうように変形する事になります。なぜなら電子はディラック方程式を満たすので、例えば

なので、

としてγが消去されます。なので計算の方針は、分母

を整理して、次に分子、

を整理してそれらをに纏め上げて最後に係数

を掛ける。として計算できるはずです。
と言う事で先に述べた形式に因子が纏め上げられれば良い。今日はこの辺で。
