今日からなんとなーく薄っぺらな独学で済ましてきた繰り込みについてもうちょっとだけ突っ込んでみようと思います。まじめにやりたい方は決して参考にしないで下さいね。あ、そんな事は言わなくても良かったですかね。あくまで「てきとう」路線ですので。
まずは、電子の自己エネルギーから。
https://cat-falcon.hatenablog.com/entry/17924892

δmは質量補正で、繰り込みはこのように展開した級数の数項(発散次数)分を除去すれば良いのだった。なので繰り込み条件は

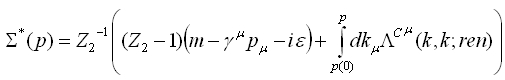
とするという意味になる。 一方ワインバーグ(Weinberg場の量子論2 巻量子場の理論形式)p190では

と書かれる(東海岸メトリックで書かれている点に注意)。最後の項はループ・ダイアグラムの寄与と説明されているのだが、、、、私のノート(第90話)では

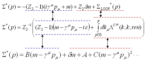
「場の量子論 中西襄著」p266によればこれは重複発散を正しく処理した結果だという。Weinbergでは重複発散の問題を避けるのに自己エネルギーを頂点関数で書き直すというような事をやっていないので上の式のような線積分は出て来ない。おそらく対応関係は

という事だろうか?。次回はこの点をもう少しすっきりさせたいと思います。
まずは、電子の自己エネルギーから。
https://cat-falcon.hatenablog.com/entry/17924892

δmは質量補正で、繰り込みはこのように展開した級数の数項(発散次数)分を除去すれば良いのだった。なので繰り込み条件は

とするという意味になる。 一方ワインバーグ(Weinberg場の量子論2 巻量子場の理論形式)p190では

と書かれる(東海岸メトリックで書かれている点に注意)。最後の項はループ・ダイアグラムの寄与と説明されているのだが、、、、私のノート(第90話)では

「場の量子論 中西襄著」p266によればこれは重複発散を正しく処理した結果だという。Weinbergでは重複発散の問題を避けるのに自己エネルギーを頂点関数で書き直すというような事をやっていないので上の式のような線積分は出て来ない。おそらく対応関係は

という事だろうか?。次回はこの点をもう少しすっきりさせたいと思います。