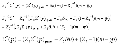
質量補正δmによる繰り込み項を入れた式を思い出すと

これは次のような関係にある(?)。

これで係数Bの形は次のように書くことができます。

これを自己エネルギーに代入してやると、

これとWeinberg場の量子論2 巻量子場の理論形式.)p190(10.3.29)と比較するとループの寄与というのは

という事らしい事がわかる。ここでは西海岸メトリック方式なので次のようになる。

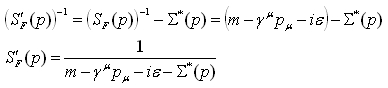
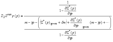
これは

となって辻褄が合っています。そして繰り込みの条件を

とするなら

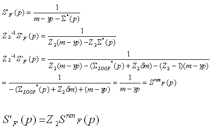
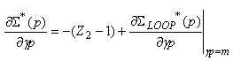
一方ワインバーグ(Weinberg場の量子論2 巻量子場の理論形式.)p190の式と若干異なる(完全に同一にならないのは計量の取り方等による)。またこの式を微分すると次の関係が得られて

繰り込みの条件

となってWeinberg場の量子論2 巻量子場の理論形式.p190(10.3.33)を得ます。
ただし、メトリックの違い等を合わせると

となって同一になる。やっぱりメトリックは西海岸メトリック方式が良い。東海岸メトリック方式だと質量の二乗にマイナスがついてそれはめぐって色んな所に虚数単位i が顔を出してきて面倒だ。

これは次のような関係にある(?)。

これで係数Bの形は次のように書くことができます。

これを自己エネルギーに代入してやると、

これとWeinberg場の量子論2 巻量子場の理論形式.)p190(10.3.29)と比較するとループの寄与というのは

という事らしい事がわかる。ここでは西海岸メトリック方式なので次のようになる。

これは

となって辻褄が合っています。そして繰り込みの条件を

とするなら

一方ワインバーグ(Weinberg場の量子論2 巻量子場の理論形式.)p190の式と若干異なる(完全に同一にならないのは計量の取り方等による)。またこの式を微分すると次の関係が得られて

繰り込みの条件

となってWeinberg場の量子論2 巻量子場の理論形式.p190(10.3.33)を得ます。
ただし、メトリックの違い等を合わせると

となって同一になる。やっぱりメトリックは西海岸メトリック方式が良い。東海岸メトリック方式だと質量の二乗にマイナスがついてそれはめぐって色んな所に虚数単位i が顔を出してきて面倒だ。





