もうしばらくスピノル(スピノール)を見てみようと思う。
これまででパウリ行列とディラック・ガンマ行列の具体的な形を覚えました。
https://cat-falcon.hatenablog.com/entry/13660821
これまででパウリ行列とディラック・ガンマ行列の具体的な形を覚えました。
https://cat-falcon.hatenablog.com/entry/13660821
パウリ行列


しかし、これは一つの具体的な形で、これで無ければならないといものでも無く

を満たしているような行列であれば良い。
https://cat-falcon.hatenablog.com/entry/14171942。

を満たしているような行列であれば良い。
https://cat-falcon.hatenablog.com/entry/14171942。
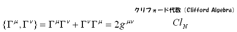
一般に、関係式

を満たすような代数をクリフォード代数(Clifford Algebra)というらしい。Nは次元。

を満たすような代数をクリフォード代数(Clifford Algebra)というらしい。Nは次元。
なのでディラック方程式に出てくるγがN = 4 という事になる。
そこで素朴な疑問が生じる。
ベクトルやテンソルは何次元でも良かった。
基本的な原理や数学的というかそういった制約から3とか4という次元の量になっているような事は無かった。多次元の運動方程式は記述しようと思えば出来る。だけどディラックガンマは最初から4次元になっている。もっと他の次元のディラックガンマを構成できるんだろうか?と。
基本的な原理や数学的というかそういった制約から3とか4という次元の量になっているような事は無かった。多次元の運動方程式は記述しようと思えば出来る。だけどディラックガンマは最初から4次元になっている。もっと他の次元のディラックガンマを構成できるんだろうか?と。
「クリフォード代数」とか「スピン群」とかいう物がその背景にあるようだ、、、
まあ、そんな高度な事は今の私にはどうでもいいのです。
