もう少しスピノール周りを少し勉強する気になったので、、、以前、一般に、関係式

を満たすような代数をクリフォード代数(Clifford Algebra)というらしい。という点で取り合えず素通りしたのだがやはり気になる。それでもうちょっと頑張ってみようと思います。その時に計量をN次元ミンコフスキー計量として

としていました。4次元で考えると対角成分が{時間, 空間x, 空間y, 空間z}と対応していて時間が1次元、空間が (x、y、z)に対応してる。こうして一緒に扱う事で時空という概念が明らかになる。相対性理論の基礎にもなっている。時間だけが符号が異なっている点はやはり「時間」というものに神秘性を感じる。ともかく人為的にこうしたわけではなく理論的要請と実験検証によって(今のところ)これは正しい。しかし一方ではこの符号の違いによって場の量子論では問題のゴーストという厄介者が付きまとうようだ。

を満たすような代数をクリフォード代数(Clifford Algebra)というらしい。という点で取り合えず素通りしたのだがやはり気になる。それでもうちょっと頑張ってみようと思います。その時に計量をN次元ミンコフスキー計量として

としていました。4次元で考えると対角成分が{時間, 空間x, 空間y, 空間z}と対応していて時間が1次元、空間が (x、y、z)に対応してる。こうして一緒に扱う事で時空という概念が明らかになる。相対性理論の基礎にもなっている。時間だけが符号が異なっている点はやはり「時間」というものに神秘性を感じる。ともかく人為的にこうしたわけではなく理論的要請と実験検証によって(今のところ)これは正しい。しかし一方ではこの符号の違いによって場の量子論では問題のゴーストという厄介者が付きまとうようだ。
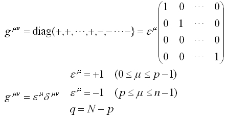
しかし世界は広い、広すぎる。つまり

当然というかこんなものを考えたくなるのだろうけど数学はともかくとして異常な世界だ。どう理解しているんだろう?言ってみれば時間がp次元あるというような世界?時間は何時も直線的で過去から未来へという常識という枠を超えて時間が平面的だったり立体的だったりするような時空間とでもいうのだろうか?。それはさておき、対角成分の符号が違うという単純な形なので例えば、

といった(わざと難しい)書き方もあります。そして明らかに

です。数学はともかくとして異常な世界だ。さて、このような計量をもつ空間をM(p,q)と書いてそのの直交基底を

とする時、

という世界、という事になる。そして、符号数(p,q)のような一般の場合でもクリフォード代数を考えるらしい。

当然というかこんなものを考えたくなるのだろうけど数学はともかくとして異常な世界だ。どう理解しているんだろう?言ってみれば時間がp次元あるというような世界?時間は何時も直線的で過去から未来へという常識という枠を超えて時間が平面的だったり立体的だったりするような時空間とでもいうのだろうか?。それはさておき、対角成分の符号が違うという単純な形なので例えば、

といった(わざと難しい)書き方もあります。そして明らかに

です。数学はともかくとして異常な世界だ。さて、このような計量をもつ空間をM(p,q)と書いてそのの直交基底を

とする時、

という世界、という事になる。そして、符号数(p,q)のような一般の場合でもクリフォード代数を考えるらしい。