Note19 Lie群と1助変数部分群

今日は、先日の左不変ベクトル場に関する続きです。

 

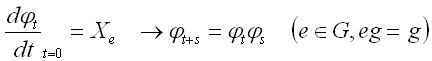
一般にベクトル場Xで
https://cdn-ak.f.st-hatena.com/images/fotolife/c/cat_falcon/20190806/20190806022707.jpg
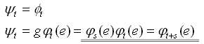
この関係で曲線を積分曲線という場合があります。Lie群Gの左不変ベクトル場Xとその積分曲線で
https://cdn-ak.f.st-hatena.com/images/fotolife/c/cat_falcon/20190806/20190806025638.jpg
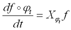
が成り立ちます。これを1助変数部分群といいます。これは次のようにして確かめられます。
https://cdn-ak.f.st-hatena.com/images/fotolife/c/cat_falcon/20190806/20190806025650.jpg
とすると、
https://cdn-ak.f.st-hatena.com/images/fotolife/c/cat_falcon/20190806/20190806025643.jpg
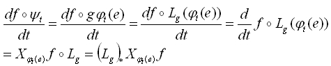
Xの左不変性から
https://cdn-ak.f.st-hatena.com/images/fotolife/c/cat_falcon/20190806/20190806025635.jpg
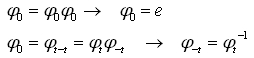
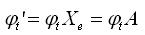
となるのでΨtはXの積分曲線になっています。ここでGの要素を
https://cdn-ak.f.st-hatena.com/images/fotolife/c/cat_falcon/20190806/20190806025654.jpg
ととると、
https://cdn-ak.f.st-hatena.com/images/fotolife/c/cat_falcon/20190806/20190806025658.jpg
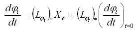
を満たしています。ここで次のように置きます。
https://cdn-ak.f.st-hatena.com/images/fotolife/c/cat_falcon/20190806/20190806025702.jpg
微分方程式の解の一意性から
https://cdn-ak.f.st-hatena.com/images/fotolife/c/cat_falcon/20190806/20190806025647.jpg
と、確かに成り立っています。さらに
https://cdn-ak.f.st-hatena.com/images/fotolife/c/cat_falcon/20190806/20190806025705.jpg
なのでこれは1助変数変換群でもあるわけでなので1助変数「部分」群と呼ばれるわけですね。
1助変数部分群は次のように書かれます。Xを1助変数部分群が生成するベクトル場の時、
https://cdn-ak.f.st-hatena.com/images/fotolife/c/cat_falcon/20190806/20190806022713.jpg
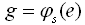
なんで指数関数なのか?(意味ありげな記法ですね)
https://cdn-ak.f.st-hatena.com/images/fotolife/c/cat_falcon/20190806/20190806022717.jpg
から、
https://cdn-ak.f.st-hatena.com/images/fotolife/c/cat_falcon/20190806/20190806022723.jpg
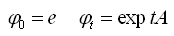
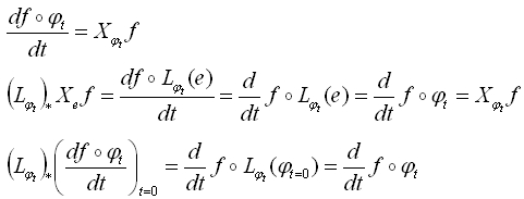
これは任意のfに対してだから形式的に
https://cdn-ak.f.st-hatena.com/images/fotolife/c/cat_falcon/20190806/20190806022728.jpg
で、次のように置くと、
https://cdn-ak.f.st-hatena.com/images/fotolife/c/cat_falcon/20190806/20190806022732.jpg
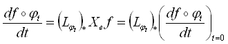
これで
https://cdn-ak.f.st-hatena.com/images/fotolife/c/cat_falcon/20190806/20190806022737.jpg
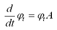
と同一視すると(、、、?)
https://cdn-ak.f.st-hatena.com/images/fotolife/c/cat_falcon/20190806/20190806025621.jpg
となります。これを改めて書き直すと(「現代微分幾何入門 野水克己 著」p21 (1)式)
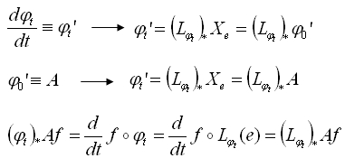
https://cdn-ak.f.st-hatena.com/images/fotolife/c/cat_falcon/20190806/20190806025625.jpg
形式的には初期条件と解は
https://cdn-ak.f.st-hatena.com/images/fotolife/c/cat_falcon/20190806/20190806025630.jpg
と書けます。そういった経緯でそんな記法が使われるようです。

 

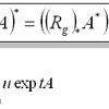
「同一視すると」というのは私の勝手な解釈です。そうでもしないとその次の式の意味が今ひとつ納得出来ないので、、、

 

今日は「現代微分幾何入門 野水克己 著」p21でした。