今日は接続形式の公式を一個だけ吟味。
接続が与えられていると接続形式には次のような関係がある。接続形式には構造群が随伴表現で作用するって言う事?

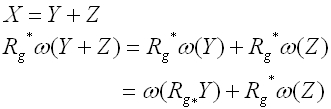
接続があたえられているのでベクトル場Xは水平部分と垂直部分にわけられるから

接続の条件から

なのでこれも水平、従って、

次にZは垂直だからファイバーに接しているからある基本ベクトル場として書くことができるはずだから

それで、これは「現代微分幾何入門 野水克己 著」p33の補題Ⅰの関係式から、

それと、接続形式の条件から

なので


接続があたえられているのでベクトル場Xは水平部分と垂直部分にわけられるから

接続の条件から

なのでこれも水平、従って、

次にZは垂直だからファイバーに接しているからある基本ベクトル場として書くことができるはずだから

それで、これは「現代微分幾何入門 野水克己 著」p33の補題Ⅰの関係式から、

それと、接続形式の条件から

なので

今日は「現代微分幾何入門 野水克己 著」p42、43。