先日の続きです。
ベクトル解析のイメージと言う事でベクトル解析の3役者、勾配(gradient)、発散(divergence)、回転( rotation)が何で勾配、発散、回転と呼ばれるのか?という素朴な疑問。
まあ、定義なのでそんな事はどうでも良いのかもしれないが気になる。きっとそう呼ばれる由縁はあるはずだ。
という事で少しでも「呼ばれ方」になるべく忠実になるようにこの3役者を見てみる事にする。
※以下は私のイメージですがもっと良い初等的な「イメージ」があれば知りたい。
ベクトル解析のイメージと言う事でベクトル解析の3役者、勾配(gradient)、発散(divergence)、回転( rotation)が何で勾配、発散、回転と呼ばれるのか?という素朴な疑問。
まあ、定義なのでそんな事はどうでも良いのかもしれないが気になる。きっとそう呼ばれる由縁はあるはずだ。
という事で少しでも「呼ばれ方」になるべく忠実になるようにこの3役者を見てみる事にする。
※以下は私のイメージですがもっと良い初等的な「イメージ」があれば知りたい。
まずは、勾配(gradient)
次のような例で見てみます。
最も勾配のキツイ方向を指しているベクトルになっている。確かに勾配(坂道)というイメージだ。
次のような例で見てみます。
最も勾配のキツイ方向を指しているベクトルになっている。確かに勾配(坂道)というイメージだ。
追記:
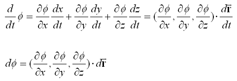
ところで、φは本来ポテンシャルのようなスカラー場
なのであまり正しいイメージにはなっていない。少し技巧的だけど座標を助変数tを使って
と書くときφの接ベクトル(傾き)は
となってgradが出てきます。
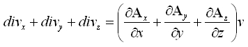
次は発散(divergence)だ。発散!!というイメージが得られるだろうか?
各点に湧き出しがあるとき空間のある位置の微小な立方体には流入と流出がある。
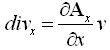
この時この立方体のYZ面から流出(発散)していく流量divxは
になる。もう少し計算するとこの式は次のように
従って、δxが微小なら(微小な体積をvとすると)
同様に他の面XY面、XZ面の発散量も計算できて、全発散量は
となって確かにdivは発散に関係している事が分かる。
ところで、φは本来ポテンシャルのようなスカラー場
なのであまり正しいイメージにはなっていない。少し技巧的だけど座標を助変数tを使って
と書くときφの接ベクトル(傾き)は
となってgradが出てきます。
次は発散(divergence)だ。発散!!というイメージが得られるだろうか?
各点に湧き出しがあるとき空間のある位置の微小な立方体には流入と流出がある。
この時この立方体のYZ面から流出(発散)していく流量divxは
になる。もう少し計算するとこの式は次のように
従って、δxが微小なら(微小な体積をvとすると)
同様に他の面XY面、XZ面の発散量も計算できて、全発散量は
となって確かにdivは発散に関係している事が分かる。
最後は回転( rotation)。これは結構イメージが大変だったが、、、
または渦curlと呼ばれます。渦度とも言う。gradと同様に分かりやすく2次元で見てみる。
という事になるがイメージとしてはいま一つだ。そこで次のような微小な循環を考えてみる。
循環に逆らう寄与はマイナスになるからY方向の寄与は次のようになる。
同様にX方向の寄与は次のようになる。
と言う事で一周分の総和が渦の強さになる。

という事でどうだろうか?
または渦curlと呼ばれます。渦度とも言う。gradと同様に分かりやすく2次元で見てみる。
という事になるがイメージとしてはいま一つだ。そこで次のような微小な循環を考えてみる。
循環に逆らう寄与はマイナスになるからY方向の寄与は次のようになる。
同様にX方向の寄与は次のようになる。
と言う事で一周分の総和が渦の強さになる。

という事でどうだろうか?
「物理数学Ⅰ 堀 淳一著」共立出版が役にたった。この本、数学的過ぎない直感主義的な解説がとても好きだ。